一、选择题(每小题5分,共75分,在每小题给出的四个选项中,只有一项是符合题目要求。)
第1题 设集合M={1,2,3,4,5},N={2,4,6},T={4,5,6},则(M∩T)∪N( )
A.{4,5,6}
B.{2,4,5,6}
C.{1,2,3,4,5,6}
D.{2,4,6}
参考答案:B
第2题 设角α的终边通过点P(-5,12),则cotα+sinα等于( )
A.7/13
B.-7/13
C.79/156
D.-79/156
参考答案:C
第3题 函数y=e|x|是( )
A.奇函数,且在区间(0,+∞)上单调递增
B.偶函数,且在区间(-∞,0)上单调递增
C.偶函数,且在区间(-∞,0)上单凋递减
D.偶函数,且在区间(-∞,+∞)上单调递增
参考答案:C
第4题

参考答案:A
第5题 已知cos2α=5/13(3π/4<α<π),则tanα等于( )
A.-3/2
B.-2/3
C.2/3
D.3/2
参考答案:B
第6题 命题甲:直线y=b-x过原点,命题乙:b=0,则( )
A.甲是乙的充分条件但不是必要条件
B.甲是乙的必要条件但不是充分条件
C.甲不是乙的充分条件也不是乙的必要条件
D.甲是乙的充分必要条件
参考答案:D
第7题 从5个男学生和4个女学生中选出3个代表,选出的全是女学生的概率是( )
A.4
B.24
C.1/21
D.1/126
参考答案:C
第8题 已知向量a=(3,4),向量b=(0,-2),则cos的值为( )
A.4/5
B.-4/5
C.2/25
D.-2/25
参考答案:B
第9题 正三棱锥的高为2,底面一边的长为12,则它的侧面积为( )
A.144
B.72
C.48
D.36
参考答案:B
第10题

参考答案:D
第11题

参考答案:B
第12题

参考答案:A
第13题

参考答案:D
第14题

参考答案:B
第15题

参考答案:D
二、填空题(本大题共4小题。每小题4分,共16分)
第16题 函数y=cos2x+2cosx+1的最小值是________
参考答案: -1/2
第17题 设函数f(2t-1)=t2-2t+2,则函数f(x)=________
第18题
第19题 一个圆柱的底面半径和高都与一个球的直径相等,则该圆柱与该球的体积的比为________
参考答案:6:1
三、解答题(共59分。解答应写出推理、演算步骤)
第20题 海面上以灯塔口为中心,半径为3.8km的圆形区域内为暗礁区渔船航行至海面上C处,从岸边的观测站A测得AB=6.22km,AC=2.85km,∠BAC=30°。计算此时渔船和灯塔B的距离并判断渔船是否已经进入了暗礁区(计算结果的公里数保留到个位)

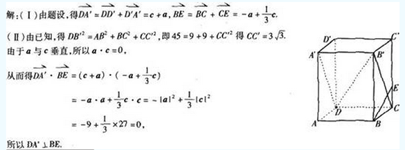
第21题


第22题


第23题


第24题


热点关注:
Copyright 2025 浙江成考网(www.ckw.zj.cn) 备案号:浙ICP备2022031588号-1
版权所有:杭州玖管文化传媒有限公司 咨询电话:0571-86028781
本站地址:浙江省杭州市钱塘区白杨街道科技园路2号2幢908-911室;咨询合作热线:顾老师(18767395320)
浙江成考网,主要为浙江省成考考生提供报考咨询、考前培训服务的网站,所有报考信息以浙江省教育考试院为准。